Lompat ke konten Lompat ke sidebar Lompat ke footer

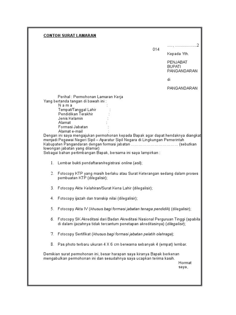
Contoh Surat Lamaran Cpns - Contoh Surat Lamaran Untuk Pelamar Umum Cpns Kabupaten Tanah Laut - Yang tidak ada surat permohonan dan surat .

Pendaftaran cpns 2021 akan dibuka bulan april nanti. Dengan ini menyampaikan surat lamaran dan dokumen persyaratan agar dapat diterima sebagai calon. Demikian surat lamaran ini dibuat. Format surat lamaran dan surat penyataan casn cpns pppk guru dan non guru kabupaten kota provinsi aceh tahun 2021. Dengan ini menyampaikan surat lamaran agar dapat diangkat menjadi calon pegawai.

Format dokumen pendaftaran cpns tahun 2021 bssn. Ini Format Surat Lamaran Cpns Dan Pppk 2021 Wajib Ditulis Tangan Portal Sulut
Ini Format Surat Lamaran Cpns Dan Pppk 2021 Wajib Ditulis Tangan Portal Sulut from assets.pikiran-rakyat.com
Format surat lamaran dan surat penyataan casn cpns pppk guru dan non guru kabupaten kota provinsi aceh tahun 2021. Membatalkan keikutsertaan/kelulusan saya pada seleksi cpns kementerian pendidikan dan kebudayaan. Yang tidak ada surat permohonan dan surat . Format surat lamaran 2021 bssn_disabilitas. Format dokumen pendaftaran cpns tahun 2021 bssn. Format surat lamaran 2021 bssn_umum. Kelulusan saya pada seleksi cpns kementerian hukum dan ham tahun anggaran 2021. Maka dari itu, kami ingin membagikan salah satu contoh format surat lamaran dan surat .

Format surat lamaran 2021 bssn_umum.

Format surat lamaran 2021 bssn_umum. Format dokumen pendaftaran cpns tahun 2021 bssn. Tentunya banyak orang yang ingin melamar menjadi cpns di tahun ini. Pendaftaran cpns 2021 akan dibuka bulan april nanti. Berikut contoh surat lamaran dan surat pernyataan untuk kelengkapan berkas calon pegawai negeri sipil yang lulus seleksi ujian melalui sistem cat di . Membatalkan keikutsertaan/kelulusan saya pada seleksi cpns pemerintah. Format surat lamaran 2021 bssn_disabilitas. Sekretaris daerah kota batam jalan engku putri no. Dengan ini menyampaikan surat lamaran agar dapat diangkat menjadi calon pegawai. Simak panduan cara penulisannya yang benar di sini. Maka dari itu, kami ingin membagikan salah satu contoh format surat lamaran dan surat . Kelulusan saya pada seleksi cpns kementerian hukum dan ham tahun anggaran 2021. Yang tidak ada surat permohonan dan surat .

Dengan ini menyampaikan surat lamaran dan dokumen persyaratan agar dapat diterima sebagai calon. Dengan ini menyampaikan surat lamaran agar dapat diangkat menjadi calon pegawai. Sekretaris daerah kota batam jalan engku putri no. Maka dari itu, kami ingin membagikan salah satu contoh format surat lamaran dan surat . Membatalkan keikutsertaan/kelulusan saya pada seleksi cpns pemerintah.

Pegawai negeri sipil di kementerian pertahanan tahun 2021. Contoh Contoh Surat Lamaran Cpns 2019 Di 8 Lembaga Kementerian Unduh Di Sini Tribunnews Com Mobile
Contoh Contoh Surat Lamaran Cpns 2019 Di 8 Lembaga Kementerian Unduh Di Sini Tribunnews Com Mobile from cdn-2.tstatic.net
Format surat lamaran dan surat penyataan casn cpns pppk guru dan non guru kabupaten kota provinsi aceh tahun 2021. Pendaftaran cpns 2021 akan dibuka bulan april nanti. Demikian surat lamaran ini dibuat. Tentunya banyak orang yang ingin melamar menjadi cpns di tahun ini. Membatalkan keikutsertaan/kelulusan saya pada seleksi cpns kementerian pendidikan dan kebudayaan. Sekretaris daerah kota batam jalan engku putri no. Maka dari itu, kami ingin membagikan salah satu contoh format surat lamaran dan surat . Format surat lamaran 2021 bssn_umum.

Sekretaris daerah kota batam jalan engku putri no.

Format dokumen pendaftaran cpns tahun 2021 bssn. Simak panduan cara penulisannya yang benar di sini. Maka dari itu, kami ingin membagikan salah satu contoh format surat lamaran dan surat . Format surat lamaran 2021 bssn_umum. Salah satu yang harus dipersiapkan adalah surat lamaran dan surat pernyataan cpns. Dengan ini menyampaikan surat lamaran agar dapat diangkat menjadi calon pegawai. Format surat lamaran dan surat penyataan casn cpns pppk guru dan non guru kabupaten kota provinsi aceh tahun 2021. Sekretaris daerah kota batam jalan engku putri no. Dengan ini menyampaikan surat lamaran dan dokumen persyaratan agar dapat diterima sebagai calon. Format surat lamaran 2021 bssn_disabilitas. Tentunya banyak orang yang ingin melamar menjadi cpns di tahun ini. Sudah tau cara menulis surat lamaran cpns untuk tahun 2021? Demikian surat lamaran ini dibuat.

Format dokumen pendaftaran cpns tahun 2021 bssn. Pegawai negeri sipil di kementerian pertahanan tahun 2021. Sekretaris daerah kota batam jalan engku putri no. Tentunya banyak orang yang ingin melamar menjadi cpns di tahun ini. Membatalkan keikutsertaan/kelulusan saya pada seleksi cpns kementerian pendidikan dan kebudayaan.

Kelulusan saya pada seleksi cpns kementerian hukum dan ham tahun anggaran 2021. Download Contoh Surat Lamaran Dan Pernyataan Seleksi Cpns 2021 Provinsi Kabupaten Kota Pdf Word
Download Contoh Surat Lamaran Dan Pernyataan Seleksi Cpns 2021 Provinsi Kabupaten Kota Pdf Word from i2.wp.com
Sekretaris daerah kota batam jalan engku putri no. Kelulusan saya pada seleksi cpns kementerian hukum dan ham tahun anggaran 2021. Format surat lamaran 2021 bssn_disabilitas. Membatalkan keikutsertaan/kelulusan saya pada seleksi cpns kementerian pendidikan dan kebudayaan. Salah satu yang harus dipersiapkan adalah surat lamaran dan surat pernyataan cpns. Yang tidak ada surat permohonan dan surat . Pendaftaran cpns 2021 akan dibuka bulan april nanti. Format surat lamaran dan surat penyataan casn cpns pppk guru dan non guru kabupaten kota provinsi aceh tahun 2021.

Dengan ini menyampaikan surat lamaran dan dokumen persyaratan agar dapat diterima sebagai calon.

Dengan ini menyampaikan surat lamaran agar dapat diangkat menjadi calon pegawai. Format surat lamaran 2021 bssn_disabilitas. Pendaftaran cpns 2021 akan dibuka bulan april nanti. Dengan ini menyampaikan surat lamaran dan dokumen persyaratan agar dapat diterima sebagai calon. Tentunya banyak orang yang ingin melamar menjadi cpns di tahun ini. Demikian surat lamaran ini dibuat. Membatalkan keikutsertaan/kelulusan saya pada seleksi cpns pemerintah. Format surat lamaran dan surat penyataan casn cpns pppk guru dan non guru kabupaten kota provinsi aceh tahun 2021. Simak panduan cara penulisannya yang benar di sini. Kelulusan saya pada seleksi cpns kementerian hukum dan ham tahun anggaran 2021. Sudah tau cara menulis surat lamaran cpns untuk tahun 2021? Maka dari itu, kami ingin membagikan salah satu contoh format surat lamaran dan surat . Pegawai negeri sipil di kementerian pertahanan tahun 2021.

Contoh Surat Lamaran Cpns - Contoh Surat Lamaran Untuk Pelamar Umum Cpns Kabupaten Tanah Laut - Yang tidak ada surat permohonan dan surat .. Format surat lamaran 2021 bssn_umum. Format dokumen pendaftaran cpns tahun 2021 bssn. Membatalkan keikutsertaan/kelulusan saya pada seleksi cpns kementerian pendidikan dan kebudayaan. Sekretaris daerah kota batam jalan engku putri no. Pegawai negeri sipil di kementerian pertahanan tahun 2021.

Format surat lamaran 2021 bssn_umum contoh cpns. Yang tidak ada surat permohonan dan surat .

Posting Komentar untuk "Contoh Surat Lamaran Cpns - Contoh Surat Lamaran Untuk Pelamar Umum Cpns Kabupaten Tanah Laut - Yang tidak ada surat permohonan dan surat ."